×
Pila do ek Chai? | छोटी सी मदद? ☕

If you like our notes, please support the creator!

NotesLover UPI QR

UPI ID: sa786bh-1@okaxis

Official NotesLover Support

"Padhai toh hoti rahegi, par bina Chai ke dimag ki batti kaise jalegi?" 💡

Aapki help se hum aur bhi FREE notes bana payenge.
Your small contribution keeps us motivated to create more!

Support via UPI (कोई भी राशि) 🚀

Last Updated: Mar 24, 2026

Uploaded By: NotesLover

141 Views

 

127 Pages

 

Basic Math for Physics Handwritten Notes PDF - NEET & JEE

Master the essential mathematical tools needed for Physics with these high-quality handwritten notes. Specifically designed for Class 11, NEET, and JEE aspirants, this guide covers Trigonometry, the ASTC rule, and Calculus (Differentiation & Integration) in a simplified, easy-to-understand format. Download the Basic Math for Physics PDF to build a strong foundation for solving complex numericals and improving your exam scores. Read more >
Preview Mode: The preview below shows limited pages only. To access the complete document, please click the "View Full PDF" button located just below this box.
नीचे दिए गए प्रीव्यू में सीमित पेज ही दिखेंगे। पूरे नोट्स के लिए इस बॉक्स के ठीक नीचे दिए गए "View Full PDF" बटन पर क्लिक करें।
Share Ratings Report

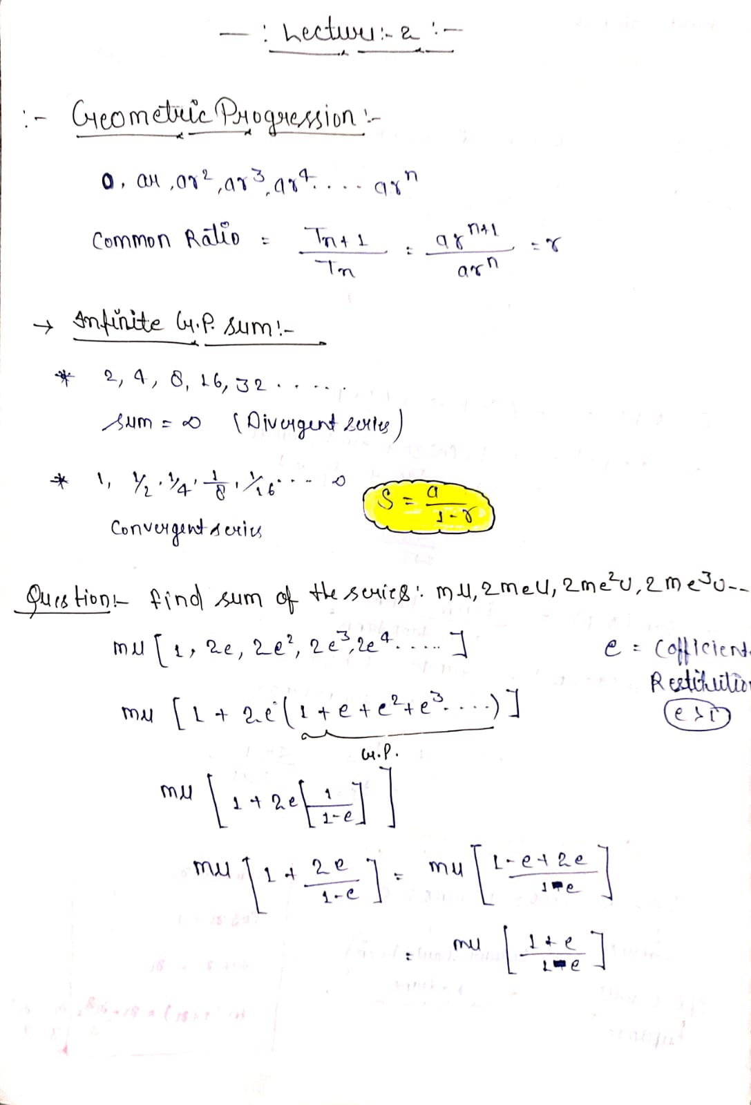
Introduction: The Language of Science

Mathematics is the primary tool used to describe the laws of Physics. Whether you are studying the trajectory of a projectile or the vibration of a string, you need to understand how quantities change in relation to each other. This guide covers the essential Basic Mathematics for Physics required for competitive exams.

1. Trigonometry & Angles

An angle ($\theta$) is defined as the ratio of Arc (चाप) to Radius (त्रिज्या). In high-level physics, we transition from degrees to Radians.

Angle (θ) = Arc / Radius
π Radians = 180°

The ASTC Rule

This rule determines the sign of trigonometric functions in the four quadrants: All, Silver, Tea, Cups.

Quadrant Range Positive Functions
I 0° - 90° All (+ve)
II 90° - 180° sin, cosec
III 180° - 270° tan, cot
IV 270° - 360° cos, sec

2. Calculus: Differentiation & Integration

Differentiation measures the Rate of Change (Slope), while Integration measures the Total Sum (Area Under Curve).

Key Formulas:

d/dx (xⁿ) = n·xⁿ⁻¹
∫ xⁿ dx = (xⁿ⁺¹)/(n+1)
Pro Tip: In Kinematics, differentiating Displacement gives Velocity, and differentiating Velocity gives Acceleration.

⚠️ Common Mistakes to Avoid

  • Using degrees instead of radians in rotational mechanics formulas.
  • Forgetting that $d/dx$ of a constant value is always **Zero**.
  • Confusing the sign of $\cos\theta$ in the 2nd quadrant (it is negative!).

Get the Full Handwritten PDF

Download the high-quality, printable Basic Mathematics for Physics Handwritten Notes PDF. Perfect for offline study and quick revision during exam days.

Download PDF Now

File Type: PDF | Size: ~39MB | Topic: Basic Math for Class 11, JEE and NEET

Quick Revision:
  • Radians are used in Physics, not degrees
  • sin²θ + cos²θ = 1 is most used identity
  • d/dx means rate of change

Conclusion

Mastering basic mathematics for physics is essential for cracking JEE and NEET. Focus on trigonometry and calculus, and practice regularly to build strong concepts.

Frequently Asked Questions (FAQ)

Q: Why is math important for NEET Physics?

A: NEET Physics involves many numericals. Without basic calculus and trigonometry, you cannot derive or solve problems related to mechanics or optics.

Q: What is the value of 1 radian in degrees?

A: 1 Radian is approximately equal to 57.3 degrees.

Q: Is this content enough for JEE Mains?

A: This covers the foundational math needed. However, for JEE, you should also practice coordinate geometry and graphs extensively.

Can't find your notes? We'll provide them for free!
(नोट्स नहीं मिल रहे? हम फ्री में देंगे!)


Official Source: Please verify information at the official exam board website(s):


Disclaimer: NotesLover is an independent educational platform and is not affiliated with, endorsed by, or associated with any government body or recruitment board.
अस्वीकरण: NotesLover एक स्वतंत्र शैक्षिक मंच है और किसी भी सरकारी निकाय या भर्ती बोर्ड से संबद्ध, समर्थित या जुड़ा नहीं है।
NotesLover provides free educational notes for learning purposes only. Content owners may request removal. Click Here.
NotesLover केवल शैक्षणिक उद्देश्य के लिए निःशुल्क अध्ययन सामग्री प्रदान करता है। यदि आप सामग्री के स्वामी हैं और किसी भी सामग्री को हटवाना चाहते हैं, तो यहाँ क्लिक करें

Basic Math for Physics NEET Physics Notes JEE Main Physics Notes Class 11 Physics Notes Handwritten Notes PDF

Reviews

No review available.

To leave a comment, please log in.

Log in to Comment

© 2026 Notes Lover. All rights reserved.

Previous Year Paper Interview Questions Blogs
Join WhatsApp Channel